AUDIT DOCUMENTS

Please download and complete the documents below. Once finished, upload your documents to the portal. 

Weekly Subscriptions
Each week, discover handpicked meats carefully curated for you.
Home Delivery
The easiest way to bring gourmet meats straight to your doorstep!
Grass-fed Organic
Take your love for quality meats to new heights with Butcher.

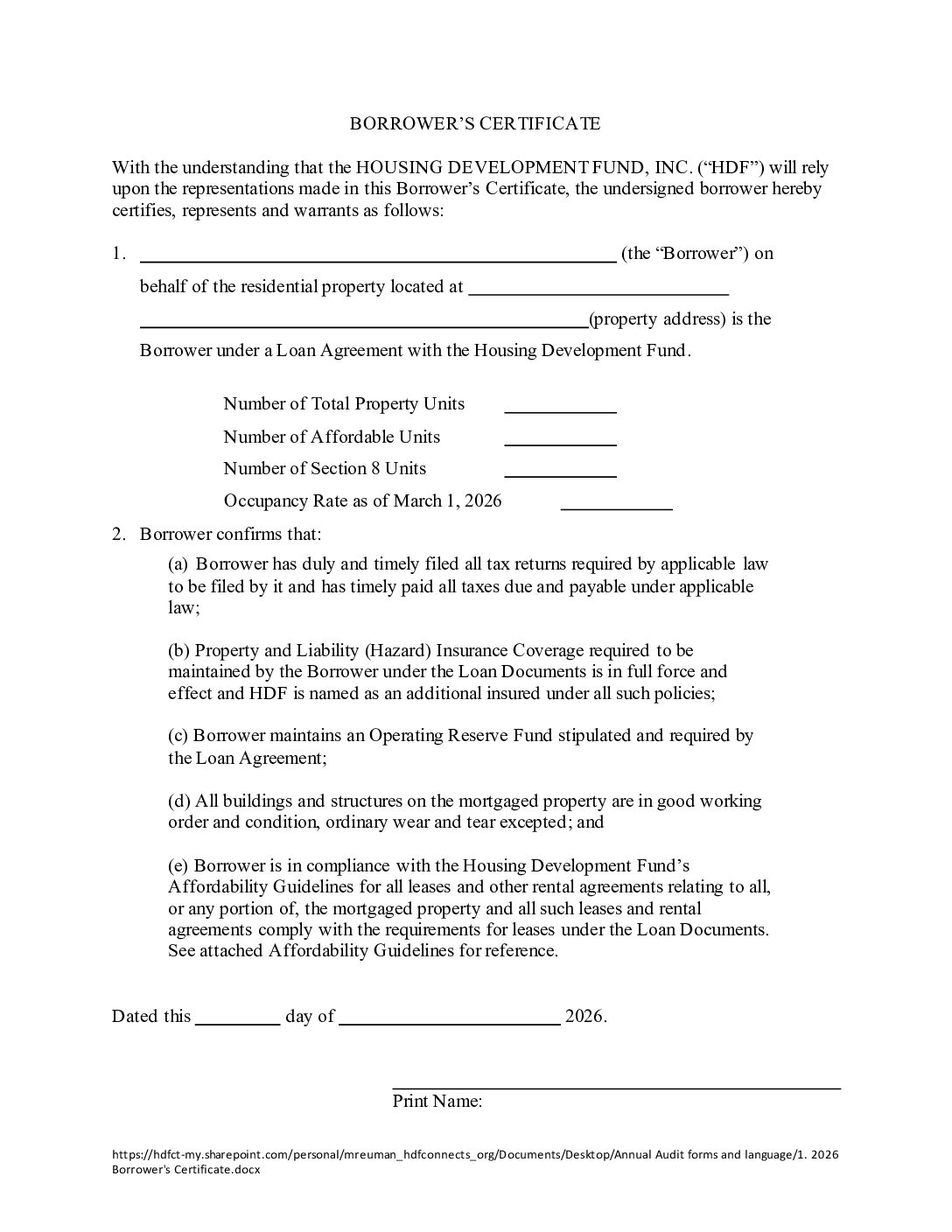
Borrower’s Certificate

Please print this document, fill out, and then scan and upload to our portal. 

Operating Statement Template

Please fill out and upload to our portal. 

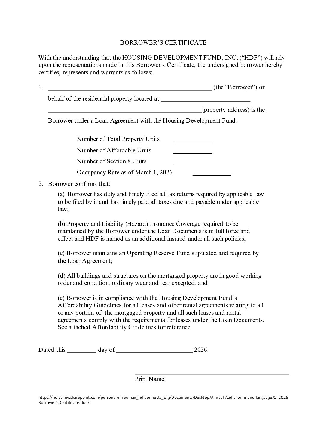
Borrower’s Certificate

Please print this document, fill out, and then scan and upload to our portal. 

Weekly Specials

Get ready for a tantalizing experience with our weekly specials that will leave you craving for more. Discover a variety of savory delights that will satisfy the most discerning palate.

Beef Skewers
Fresh Crab
Marinated TriTip
Ribeye

Weekly BBQ Popup

Every Saturday From 11am Until We Run Out!

Weekly Specials

Get ready for a tantalizing experience with our weekly specials that will leave you craving for more. Discover a variety of savory delights that will satisfy the most discerning palate.

Meat Counter

Seafood

Marinated Meats

Subscription Box

Catering

Recipes

Verified and Assured

Get ready for a tantalizing experience with our weekly specials that will leave you craving for more. Discover a variety of savory delights that will satisfy the most discerning palate.

Order Online, Visit Us, or Drop Us a Line at hello@divi.com

SF

1234 Divi St. #1000
San Francisco, CA 94220

(255) 352-6258

LA

5678 Divi St. #1000
Los Angeles, LA 94220

(255) 352-6260
Copyright © 2026 Divi. All Rights Reserved.
Follow Us